Each state has been carefully curated to match the individual States Curriculum. 


The worked solutions on Class Mathematics are a valuable asset for students. They offer

  1. Clear Demonstration: Worked solutions offer step-by-step demonstrations of problem-solving techniques.
  2. Modeling Success: Students learn effective problem-solving strategies by observing how problems are systematically solved.
  3. Error Identification: Worked solutions help students pinpoint and correct mistakes in their own solutions.
  4. Critical Thinking: Students develop critical thinking skills as they analyze the reasoning behind each step in the solution process.
  5. Independent Learning: Worked solutions empower students to study and practice independently, fostering autonomy.
  6. Confidence Boost: Clear guidance from worked solutions enhances students' confidence in their mathematical abilities.
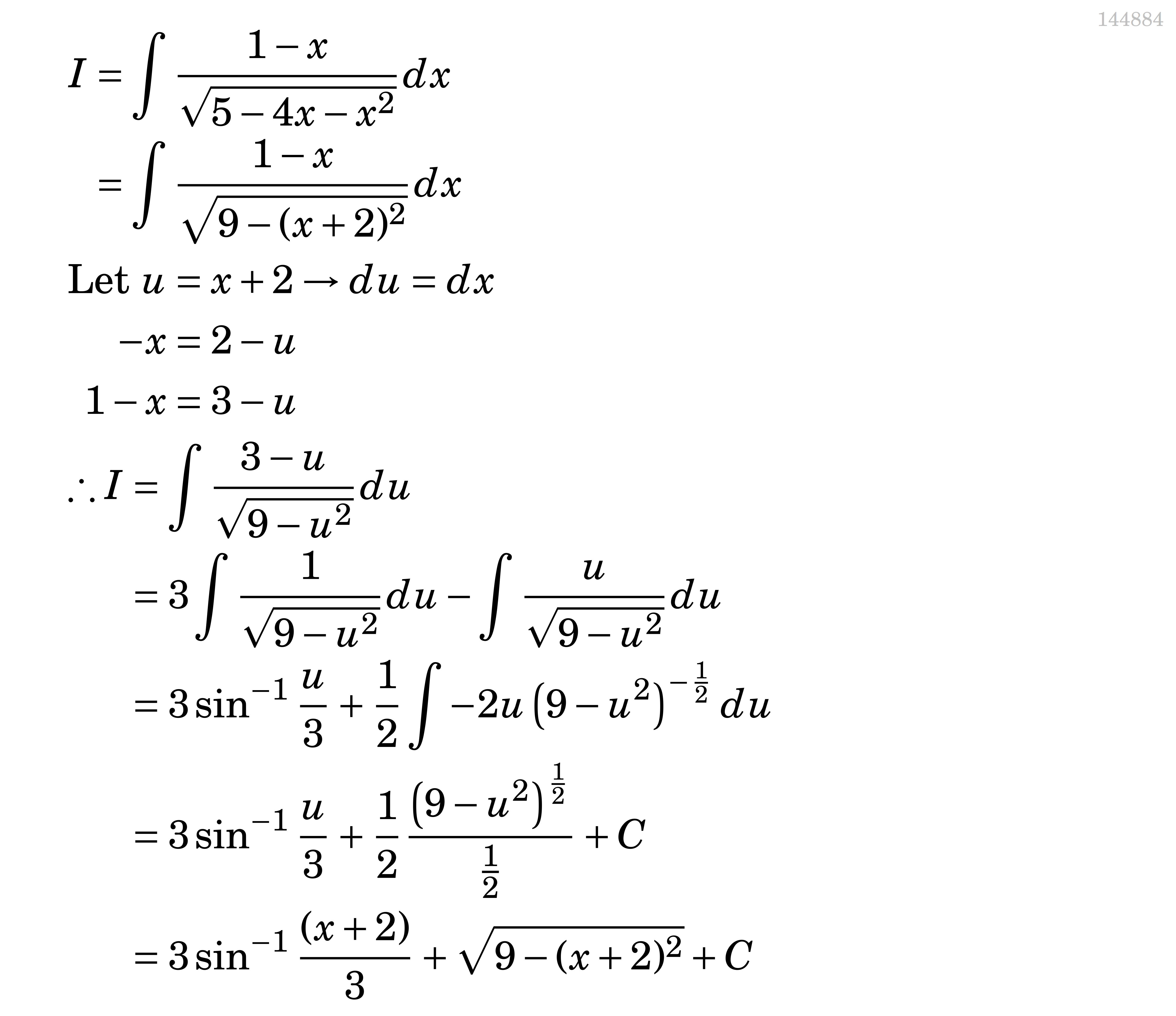
Example Worked Solution - Year 12 Ext 2

Example Worked Solution - Year 12 Ext 2


Example Quiz - Year 11 Advanced

Example Quiz - Year 11 Advanced

Using the Class Mathematics Quiz Generators (yes - we have 2), you can achive:

  1. Customisation: Tailor quizzes to match specific learning objectives and student needs.
  2. Efficiency: Streamline quiz creation with access to a database of math questions.
  3. Assessment Variety: Offer diverse question formats to assess different skills and understanding levels.
  4. Accessibility: Enable flexibility by allowing access from any internet-enabled device.
  5. Sharing: Share quizzes you created with other teachers

Using the resources on Cass Mathematics, you will ensure:

  1. Relevance: Ensure questions directly relate to curriculum objectives.
  2. Focused Learning: Maintain coherence in instruction and assessment.
  3. Assessment Accuracy: Gauge student understanding effectively.
  4. Curriculum Mapping: Easily track coverage of curriculum standards.
  5. Resource Efficiency: Save time in finding suitable materials.
  6. Student Preparedness: Familiarize students with assessment formats.

Have access to over 15,000 questions in a database. These questions will give you

  1. Resource Accessibility: Instant access to a wide array of math questions.
  2. Curriculum Alignment: Questions tailored to match curriculum standards.
  3. Customization: Ability to select questions based on specific needs.
  4. Assessment Variation: Diverse formats and topics for varied assessments.
  5. Data-Driven Instruction: Insights into student performance for informed teaching.
  6. Consistency: Ensures uniformity in assessment content and quality.
  7. Adaptability: Quick adjustments to assessments as needed.
  8. Professional Collaboration: Facilitates resource sharing and curriculum development.
  9. Engagement: Interactive features to enhance student motivation.

John has taught mathematics for over 45 years in NSW across a variety of public and private schools. John has extensive experience ensuring that all syllabus content is within all school and tutoring teaching programs (across multiple states).  In addition to teaching the Extension 2 Mathematics course for the HSC in NSW, John has also taught the Higher and Standard level courses in the International Baccalaureate.


We love to here from you! If you have any questions or feedback about our platform or resources, please don't hesitate to reach out to us via email hello@classmathematics.com.au

© 2021 Class Education (Australia) Pty Ltd. Privacy  Terms and conditions